
Open Access, Peer-reviewed
eISSN 2093-9752
Sabin Chun
JongChul Park
http://dx.doi.org/10.5103/KJAB.2025.35.3.166 Epub 2025 August 31
Abstract
Objective: In windsurfing, pumping is the only technique for propulsion, and the use of footstraps (FS) contributes to control of the board. Deep knowledge in this area can help achieve efficient movements and provide evidence-based coaching. This study investigated the impact of FS use on limb kinematics and coordination during pumping in windsurfing.
Method: Three male national windsurfers performed pumping in both FS and non-footstraps (NS) conditions on water. Kinematic data were collected using 11 inertial measurement units, attached to the participants' limb segment. The time taken, range of motion (ROM), angles (hip, knee, shoulder, and elbow joints), angular velocities, and continuous relative phase (CRP) were analyzed on the sagittal plane.
Results: During pumping, the elbow joint exhibited contrasting kinematic characteristics in terms of joint angles and angular velocities compared to the hip, knee, and shoulder joints. CRP was observed in-phase coordination among between hip, knee, and shoulder joints, while anti-phase coordination was found between the elbow joint and the other joints. The FS condition showed greater hip and knee joint ROM, joint angles, and angular velocities, as well as reduced elbow joint ROM, and longer time spent during phase 2.
Conclusion: We quantified the kinematics and CRP during pumping in windsurfing athletes under FS and NS. These results underscore the importance of the hip joint in pumping performance and suggest that the elbow joint exhibits coordination patterns that differ from those of other joints. Furthermore, the findings imply that the use of FS may enhance pumping performance by providing a more stable base, increasing lower limb mobility, and reducing reliance on the upper limbs. However, the generalizability of the findings and their explanatory power regarding pumping performance are limited due to the small sample size, the absence of direct speed measurements, and the use of qualitative methods.
Keywords
Windsurfing Pumping Footstraps Continuous relative phase
Windsurfing is a water sport that involves riding a board with a sail, while using the wind to control and propel the board. In Olympic windsurfing, all athletes are expected to start simultaneously from the same starting line, navigate a predetermined course, and cross the finish line ahead of their competitors (Tagliaferri & Viola, 2017). Because there is no fixed route, athletes can choose their path, while considering the wind conditions and position of their competitors. How- ever, using the same starting line and course marks causes athletes to cluster together, which leads to their sails being blocked by others' equipment. This results in reduced wind access and loss of power. Besides, it is crucial for an athlete to be in the lead early in the race, as their position ahead of other competitors in the first leg will significantly impact the latter stages and overall results (Chun, Park, Kim & Kim, 2022). Therefore, in addition to reliance on the wind, skillful use of pumping is necessary for easy navigation in the early stages of the game and generation of sufficient power to propel the board.
Pumping is a technique used to accelerate the board in low wind conditions (3 m/s; 4-5 knots) (So, Chan, Appel & Yuan, 2004). By repeatedly pulling and pushing the sail, athletes create drag force that generates aerodynamic lift and propul- sion, allowing the board to glide more effectively (Rodriguez, 2021; Young, Morris, Schutt & Williamson, 2019). However, studies on pumping have primarily focused on athletes' phys- ical abilities (Bojsen-Møller, Larsson & Aagaard, 2015; Hagiwara, Ohya, Yamanaka, Onuma & Suzuki, 2017; Vogiatzis, De Vito, Rodio, Madaffari & Marchetti, 2002). Investigations of pumping movements have been limited to qualitative descriptions of athletes' actions (Vogiatzis & De Vito, 2015) or quantification of joint angles and center of gravity trajectories using three-dimensional (3D) analysis via video cameras in controlled experimental settings (So et al., 2004). Considering that high-performance athletes use technically different strategies com- pared to low-performance athletes, merely imitating move- ments without understanding their underlying principles can result in wasted stamina and effort. Therefore, understanding the mechanics of the movements is crucial (Guevel, Hogrel & Marini, 2000). In addition, body movement is facilitated by the coordination of multiple joints like a connected chain. Coordination is defined as the ability to assemble and maintain a series of proper relationships between joints or segments during motion (Chiu & Chou, 2012). Therefore, improvements in movement performance are likely related to the kinematics of multiple joints rather than a single joint. Continuous re- lative phase (CRP) describes the coordination through the phase difference between two segments or joints (Hamill, van Emmerik, Heiderscheit & Li, 1999). Because it includes con- tinuous spatial and temporal information, CRP can contribute to improving individual performance and identifying optimal coordination patterns (Miller, Chang, Baird, Van Emmerik & Hamill, 2010). Pumping is described as a pushing of the sail by flexing the knees and hip joints and extending the elbows and a subsequent pulling of the sail by flexing the elbows while extending the knees and hip joints; moreover, rhythmic, and repetitive movements of the upper and lower extremities are important for efficient pumping (Castagna & Brisswalter, 2007; Vogiatzis & De Vito, 2015). Therefore, it is important to evaluate the kinematics of the hip, knee, shoulder, and elbow joints and investigate the natural movements of the upper and lower limb joints.
In addition, at the 33rd Summer Olympic Games held in Paris, France in 2024, windsurfing transitioned from the RS:X class to the iQFOiL class. This change introduced a hydrofoil fin, in addition to the traditional sail and board configuration, which enables athletes to achieve greater speed and lift above the water surface. Hydrofoil fins create vertical lift and forward momentum in mid-wind conditions that allow planing. The vertically lifted board leads to additional speed gains due to reduced friction between the board and the water sur- face. This is also achieved through translational movement over the board, such as pumping, in light wind conditions (Rozhdestvensky, 2023). Therefore, in light wind conditions, body movements aimed at accelerating the board need to be performed correctly and transmitted effectively to the board (Kristen, 2018). The footstraps (FS), located at the back (tail) edge of the board, connect the board to the rider's feet; they are used for stabilization of the body on the board (Shah, 2006) and adjustment of the board (Nathanson & Reinert, 1999). Fixing the feet on the FS provides a stable foundation required for performing movements on the board, such as pumping; besides, it can contribute to coordinated body movements. In addition, it allows for the direct transmission of body movements to the board through the connection with the board. However, there is limited research supporting the functional benefits of FS use.
Therefore, this study aimed to quantify the kinematic char- acteristics and coordinated movement patterns of the limb joints during windsurfing pumping. Furthermore, this present study had two objectives: 1) to provide valuable insights for coaching practitioners and 2) to establish the functional bene- fits of using FS. The study will not only expand the scope of existing research but also offer improved understanding and practical guidance for further investigations in this field.
1. Participants
This study recruited three male windsurfers with experi- ence in international competitions and were active as national team athletes (Table 1). All participants had no history of neurological or musculoskeletal injuries for at least 6 months prior to the experiment. The experiment was conducted after the participants received a detailed explanation of the study and provided informed consent. This study was conducted according to procedures approved by the University's Institu- tional Review Board (IRB approval number: 1041386-202309-HR-105-02).
|
Age |
Height |
Body mass |
Career |
|
|
S01 |
28 |
183 |
79 |
12 |
|
S02 |
30 |
180 |
90 |
19 |
|
S03 |
30 |
176 |
81 |
17 |
2. Procedure
Kinematic data were collected using 11 inertial measure- ment units (myoMotion, Noraxon, USA; sampling rate 100 Hz). Individual sensors were attached to the cervical spine, thoracic spine, sacrum, left and right upper arms, left and right low arm, left and right thighs, left and right shanks. The Noraxon MyoMotion sensor and the Vicon motion analysis system demonstrated a cross-correlation (XCORR) > 0.88, confirming that the two signals can produce very similar results in the sagittal plane (Heuvelmans et al., 2022). The size of a single sensor is 37.6 mm × 52 mm × 18.1 mm (length × width × height) and the sensor mass is 34 g, making it a lightweight device that does not interfere with operation. All participants used their Olympic race equipment (iQFOiL, Starboard, THA; board length: 2.2 m, board width: 0.95 m, board buoyancy: 196 ℓ, sail area: 9 m2). Before data collection, wind speed and direction were checked at sea every 30 min. To minimize the impact of wind changes, the experiment was conducted in a location that met the following standards: light wind of 4 m/s (approximately 8 knots) or less and stable wind speed and direction for > 30 min (Chun et al., 2022). All participants were instructed to perform pumping with maximum effort. Sufficient rest time was provided between measurements. For the FS condition; we defined success as both feet using the footstraps and the board levitating off the water. For the non-footstraps (NS) condition, both feet were placed on the footstraps, the rest is identical. We tried to strictly control the posture so that the kinematics were not altered by the athlete's position on the board. The failure criteria are that the athlete falls into the water or fails to float (flounders). Data collection was conducted on the water using a motorized boat to track the athlete. We maintained 3 meters from the participant to ensure that waves from the motorboat did not interfere with the participant's path of travel, pumping, or compromise the data. Additionally, efforts were made to position the transmitter close to the par- ticipant to ensure high-quality data collection. The experiment was concluded after three or more successful data collection trials were completed under both FS and NS conditions.
3. Data analysis
1) Data processing
MyoResearch 3.8 (Noraxon, USA) software was used to acquire kinematic data, control the inertial measurement units, and collect raw data. Accelerometers, gyroscopes, and magne- tometers embedded in individual IMU sensors automatically estimated kinematic data within the sensor using the Kalman filter, an optimized and robust fusion algorithm that combines axial readings into four-element quaternion values. Attempts in which both FS and NS of each participant were successfully confirmed were used in the analysis (S01: 3 trials, S02: 3 trials, S03: 7 trials). The sagittal plane where joint flexion and exten- sion movement are performed was used for the analysis of all joint kinematics data, and the relative angle, which is the angle between neighboring segments, was used. Only the analysis of anterior (close to the mast) kinematics that led movement during pumping and responded to immediate changes was performed, and the hip, knee, shoulder, and elbow joints were expressed as positive (+) and the extension as negative (-). All calculated joint angles were sent to Matlab R2023b (The Mathworks, USA), and then the pumping Phase was classified based on the maximum hip flexion point. The joint kinematic variables and CRP were normalized in the range of 0% to 40%, with each 1% representing a moment in the pumping cycle (Figure 1).
Joint ROM was used to determine the range of motion, and the difference between the maximum and minimum values of each joint angle within the defined period was calculated. Joint angles were differentiated with respect to time, using the central difference method to calculate joint angular velocity. The joint angles (hip, knee, shoulder, and elbow) were used for kinematic analysis and CRP calculation. The CRP was calculated in the range of 0 to 180°. The closer it is to 0°, the more it in- dicates a similar coordination pattern (in-phase); the closer it is to 180°, the more it indicates a different coordination pattern (anti-phase) (Lukšys, Jatužis, Jonaitis & Griškevičius, 2021).
Due to the small sample size in this study, descriptive statistics and exploratory methods were used to examine kine- matic and CRP variables. Mean (M) and standard deviation (SD) values were presented both with and without the use of footstraps, as well as across trials within each participant. Trials within a participant were excluded from the analysis if the errors were deemed abnormal. Accordingly, data from partici- pant S01 were excluded from the current study. The ensemble graphs, black solid line represents the FS condition, and the red dashed line represents the NS condition.
1. Time taken
The results of each participant's time taken during pumping, based on footstraps usage, are presented in Table 2. In Phase 1 and the total duration, time taken showed contrasting patterns among participants depending on footstraps use. In contrast, in Phase 2, time taken tended to increase with FS usage compared to NS, consistently across participants.
|
Variable |
Type |
S02 |
|
S03 |
||
|
M |
SD |
M |
SD |
|||
|
Phase 1 |
FS |
0.50 |
0.04 |
|
0.32 |
0.04 |
|
NS |
0.35 |
0.04 |
|
0.40 |
0.03 |
|
|
Phase 2 |
FS |
0.37 |
0.02 |
|
0.42 |
0.03 |
|
NS |
0.34 |
0.03 |
|
0.35 |
0.03 |
|
|
Total |
FS |
0.88 |
0.01 |
|
0.75 |
0.02 |
|
NS |
0.69 |
0.01 |
|
0.76 |
0.01 |
|
|
Note. Phase 1: pulling phase, Phase
2: pushing phase, FS: footstraps, NS: non-footstraps |
||||||
2. Joint ROM
The results of each participant's ROM during pumping, based on footstraps usage, are presented in Table 3. For the shoulder joint, ROM showed contrasting patterns among participants between the FS and NS conditions. In contrast, ROM in the hip and knee joints tended to increase in the FS condition compared to the NS condition, consistently across participants. Similarly, ROM in the elbow joint tended to decrease in the FS condition compared to the NS condition, also showing consistent patterns across participants.
|
Variable |
Type |
S02 |
|
S03 |
||
|
M |
SD |
M |
SD |
|||
|
Hip |
FS |
67.99 |
1.42 |
|
89.81 |
11.88 |
|
NS |
59.18 |
2.22 |
|
48.66 |
6.41 |
|
|
Knee |
FS |
46.47 |
7.63 |
|
49.26 |
9.71 |
|
NS |
40.71 |
4.23 |
|
37.91 |
8.95 |
|
|
Shoulder |
FS |
42.93 |
12.89 |
|
40.20 |
9.91 |
|
NS |
45.35 |
3.06 |
|
33.34 |
7.31 |
|
|
Elbow |
FS |
25.32 |
3.40 |
|
19.85 |
2.91 |
|
NS |
32.99 |
3.21 |
|
22.95 |
9.36 |
|
|
Note. FS: footstraps, NS:
non-footstraps |
||||||
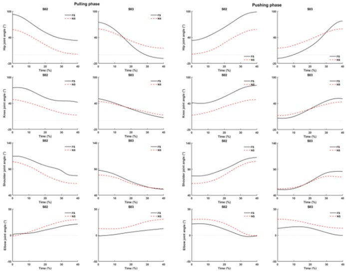
3. Joint angle
The results of each participant's joint angles during pumping, based on footstraps usage, are shown in Figure 2. The elbow joint exhibits a pattern that contrasts with all other joints. All joint angles exhibited similar patterns across participants, regardless of FS condition.
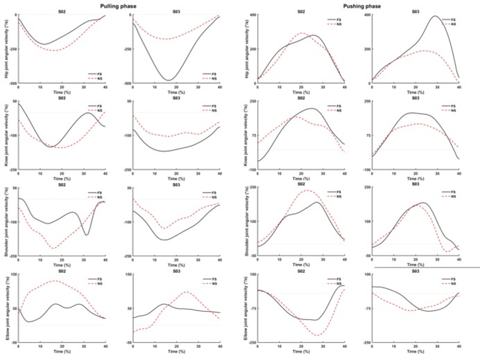
4. Joint angular velocity
The results of each participant's joint angular velocity during pumping, based on footstraps usage, are shown in Figure 3. The elbow joint angular velocities exhibit a pattern that con- trasts with all other joints. While all joint angular velocities showed similar patterns across participants, the hip angular velocity in S03 exhibited a noticeably steeper increase and decrease in the FS condition compared to the NS condition.
5. CRP
The results of each participant's CRP during pumping, based on footstraps usage, are shown in Figure 4. CRP shows in-phase coordination among the hip, knee, and shoulder joints, while it shows anti-phase coordination between the elbow joint and the other joints. All CRP exhibited similar patterns across participants, regardless of FS condition.
1. Quantification of pumping movement using 3D motion analysis
This study quantitatively investigated athletes' movements during pumping through 3D motion analysis using IMU sen- sors on water. Owing to limited studies quantifying athlete's kinematics on the water, direct comparisons are challenging. However, in the present study, angles of the hip, knee, shoulder, and elbow joints, identified as the main joints for pumping, showed distinct patterns: the hip, knee, and shoulder joints displayed a "U" shape with maximum flexion and extension, whereas the elbow joint exhibited an inverted "U" shape, opposite to the hip, knee, and shoulder joints (Figure 2). Joint angular velocity results showed an inverted "N" shape for the hip, knee, and shoulder joints and an "N" shape for the elbow joint, with each joint moving in opposite directions during the pulling and pushing phases (Figure 3). These findings agree with the results of existing qualitative research (Vogiatzis & De Vito, 2015). Although the athlete's body weight on the board remains constant, maximizing the force applied to the board is essential for utilizing this weight more effectively, and such force must be generated rapidly (MacKenzie, Lavers & Wallace, 2014). According to Castagna, Brisswalter, Lacour & Vogiatzis, (2008), pumping involves explosive movements, such as the flexion and extension of the lower limb joints during sail pulling, which allows for the storage and release of compressed energy. Although this study did not quantitatively measure the force generated by body movement or the force applied to the board, it can be inferred that pumping involves a hip drive — a forward thrust of the hip during extension — which engages large muscles such as the gluteus maximus. Since muscle cross-sectional area is highly correlated with force production, the large cross-sectional area of the gluteus maximus (4,842 mm2) suggests that it contributes significantly to optimal movement performance during hip extension (Ito, Moriyama, Inokuchi & Goto, 2003). Furthermore, it is known that a preceding eccentric contraction contributes to greater force production before a concentric contraction occurs (MacKenzie et al., 2014). This suggests that athletes may have utilized the mechanical advantage of the stretch-shortening cycle (SSC) to rapidly and forcefully shift their center of mass on the board. Considering that the hip joint plays a leading role in the overall pumping movement and provides functional advantages for force generation, field practitioners should prioritize improving hip joint mobility and strengthening hip musculature when teaching pumping techniques or developing training programs aimed at enhancing performance.
Additionally, during the propulsion phase of pumping, the movement of the body's center of mass outside the board may help counterbalance the weight of the wind applied to the sail, thereby contributing to more efficient sail control with less effort during the pulling phase. Thus, the movements observed in the lower limb and shoulder joints are likely inten- tional responses intended to shift the body's weight beyond the board. In contrast, the results observed in the elbow joint suggest that while pumping transmits energy to the board through a jumping-like mechanism, the movement is executed diagonally, with the body weight supported by the sail and relying heavily on both hands. This implies that the elbow joint plays a supportive role in facilitating the smooth trans- fer of body weight. Furthermore, the enhanced propulsion achieved through pumping increases the apparent wind — the wind experienced in the direction of travel — beyond the actual wind direction (true wind), causing the sail to move closer to the athlete's body. Therefore, the maximum flexion observed in the elbow joint following hip extension may be considered a passive response caused by the inward motion of the sail. The kinematic variables identified in this study highlight the movement characteristics required at different phases and time points of pumping and offer valuable foun- dational data for improving pumping performance.
Movement involves coordination of multiple joints (or seg- ments) and can be defined as natural relationship between these joints (Chiu & Chou, 2012). The CRP, which quantitatively expresses the coordination of two or more joints, is a suitable variable for observing movement characteristics. In this study, to quantify the inter-limb coordination during pumping, CRPs were calculated and analyzed for the following joint pairs: hip-knee, hip-shoulder, hip-elbow, knee-shoulder, knee-elbow, and shoulder-elbow. The results showed in-phase coordination patterns between reference and corresponding joints, except for those involving the elbow joint. However, transient changes in coordination patterns during the pulling and pushing phases may be attributed to differences in the range and speed of motion among the joints. In particular, the hip joint demon- strated greater and faster joint angles and angular velocities in this study. Moreover, coordination between adjacent joints, such as the shoulder-elbow pair, showed a blend of anti-phase and in-phase patterns. A similar blend was observed in joint pairs that included the elbow and were spatially distant from each other. This suggests that the elbow joint moves in a direction opposite to other joints during pumping, which is supported by the joint angle results of this study. However, the transient in-phase coordination observed at the elbow joint indicates moments when the elbow moves in the same direction as the other joints, likely during transitions in move- ment direction.
2. Coordination and limb kinematics based on FS use
Research exploring the functional benefits of footstraps use has been limited. However, securing the feet to the board to create a firm base may increase static friction—the resistance that prevents motion while in contact—which can enhance the athlete's stability, board control, and overall performance. In sports requiring sudden directional changes or sprinting, footwear traction is essential for maximizing performance. A stable base of support reduces the time needed to change direction and increases the horizontal component of ground reaction force, contributing to greater acceleration in the de- sired direction (Fuchs, Hsiao, Han, Uzomba & Nagahara, 2024; Apps, Rodrigues, Isherwood & Lake, 2020). In this study, hip joint ROM during the pumping cycle was consistently greater in the FS condition compared to the NS condition across all participants. Considering that pumping involves shifting the body's center of mass outside the board and then returning, this indicates that footstraps use enabled athletes to more confidently move their center of mass beyond the board. The time taken during Phase 2 was also longer in the FS condition, suggesting that a faster movement in the push-off phase, com- bined with greater hip ROM, required more time to complete the movement. According to the force-velocity relationship, longer contraction times contribute to increased force pro- duction (Zemková, Poór & Pecho, 2019). Additionally, the slope of the power-time curve during vertical jumping increases along with acceleration, indicating that higher joint angular velocity, observed during energy release, reflects increased force output (Cormie, McBride & McCaulley, 2009). These findings suggest that footstraps use may enhance propulsion during pumping, offering functional advantages. On the other hand, elbow joint ROM in the NS condition was consistently greater than in the FS condition, both within and across participants. As previously noted, increased friction improves support for strong and fast push-off movements (Apps et al., 2020). However, in the absence of sufficient friction between the foot and the board, and as the body leans and narrows the angle between the body and board, the body weight acts more horizontally, increasing the risk of slipping. Therefore, in the NS condition, the increased elbow joint ROM may be a compensatory mechanism to minimize horizontal forces by increasing flexion and to maintain control of the sail. Taken together, the ROM findings in this study suggest that using a footstraps pro- vides a more stable base, facilitates bolder movements, and offers advantages in utilizing the body's center of mass during pumping. In contrast, not using a footstraps may improve bodily stability on the board but increases reliance on elbow joint movement for sail control. However, since this study did not include variables such as board velocity that would more directly reflect pumping performance, the interpretation of these findings should be made with caution.
According to dynamic systems theory, movement behavior emerges from the interaction of individual, environmental, and task-specific characteristics, collectively referred to as con- straints (Colombo-Dougovito, 2017). Newell (1986) proposed that behavioral regulation is shaped by these constraints, which guide the emergence of specific actions. Individual constraints include structural and functional characteristics intrinsic to the person, whereas environmental constraints pertain to external factors such as space and surface conditions. Task constraints relate to elements inherent to the activity itself, including movement goals and equipment used (Colombo-Dougovito, 2017). In this study, suggests that the use of a footstrap may have introduced changes in both environmental constraints (e.g., altered friction or slipperiness on the board) and task constraints (e.g., the act of using a footstraps), thereby influ- encing coordination patterns. Notably, Phase 2 corresponds to the phase in which the body's center of mass shifts outside the board. Considering the potential functional advantage of the footstraps in providing a stable base during this movement, the opposing motion between the hip and elbow joints under FS conditions may reflect a beneficial coordination strategy. Contrary to the expectation that CRP patterns would show substantial changes under the unstable NS condition compared to FS, the results revealed minimal differences in coordination patterns across FS conditions. This outcome may be explained by the participants' high level of expertise. Previous studies have indicated that expertise is positively correlated with accumulated practice hours (Ericsson, Krampe & Tesch-Römer, 1993; Williams & Ford, 2008), and that diverse and extensive experience contributes to superior perceptual and cognitive abilities when compared to less skilled athletes (Vaeyens, Lenoir, Williams, Mazyn & Philippaerts, 2007). Therefore, the findings of this study suggest that the elite-level windsurfing athletes maintained consistent movement patterns and joint coordination sequences regardless of changes in constraints, likely due to their advanced adaptability and refined motor strategies developed through extensive experience.
In the present study, a small sample of three male national windsurfing athletes was recruited for the analysis of consistent and efficient movements. This method is described as an absolute approach (Chi, 2006). Additionally, we quantified the athlete's movements in real underwater conditions. However, the high standard deviation observed in this study indicates high variability between performance trials, which contrasts with the expectation that athletes with high performance levels will exhibit individually optimal movement patterns. Because the experiment was conducted under real water conditions, it is challenging to fully control the environmental variables. Additionally, because the analysis included only kinematic variables, it is difficult to identify the fundamental causes of and problems in movement performance. Therefore, in future studies, to achieve higher testing power and improve the reliability of the results, it is necessary to obtain statistical sig- nificance using a larger sample size. Future research should consider training programs focused on hip joint strengthening or improved footstrap utilization, and additional biomechanical studies aimed at quantifying athletes' force production during pumping.
Analyzing movement patterns is essential for a compre- hensive understanding of performance enhancement and skill development. Pumping is a unique technique used for board propulsion. Due to the importance of FS, which is known to improve board control, enhancing understanding and know- ledge in this area can contribute to more efficient movement execution and effective instructional strategies. According to the main findings, pumping is characterized by continuous and cyclical movements of major joints, with the elbow joint showing distinct kinematic patterns compared to the hip, knee, and shoulder joints. Additionally, strengthening the gluteal muscles may be potentially beneficial for improving pumping performance. While FS use provides advantages for executing bolder movements by altering limb kinematics, it does not lead to significant changes in inter-limb coordination.
References
1. Apps, C., Rodrigues, P., Isherwood, J. & Lake, M. (2020). Foot- wear insoles with higher frictional properties enhance performance by reducing in-shoe sliding during rapid changes of direction. Journal of Sports Sciences, 38(2), 206-213.
Google Scholar
2. Bojsen-Møller, J., Larsson, B. & Aagaard, P. (2015). Physical requirements in olympic sailing. European Journal of Sport Science, 15(3), 220-227.
Google Scholar
3. Castagna, O. & Brisswalter, J. (2007). Assessment of energy demand in laser sailing: Influences of exercise duration and performance level. European Journal of Applied Physiology, 99(2), 95-101.
Google Scholar
4. Castagna, O., Brisswalter, J., Lacour, J. R. & Vogiatzis, I. (2008). Physiological demands of different sailing techniques of the new Olympic windsurfing class. European Journal of Applied Physiology, 104(6), 1061-1067.
Google Scholar
5. Chi, M. T. (2006). Two approaches to the study of experts' characteristics. The Cambridge Handbook of Expertise and Expert Performance, 21-30.
Google Scholar
6. Chiu, S. & Chou, L. (2012). Effect of walking speed on inter-joint coordination differs between young and elderly adults. Journal of Biomechanics, 45(2), 275-280.
Google Scholar
7. Chun, S., Park, J., Kim, T. & Kim, Y. (2022). Performance analysis based on GPS data of olympic class windsurfing. Inter- national Journal of Performance Analysis in Sport, 22(3), 332-342.
Google Scholar
8. Cormie, P., McBride, J. M. & McCaulley, G. O. (2009). Power-time, force-time, and velocity-time curve analysis of the countermovement jump: impact of training. The Journal of Strength & Conditioning Research, 23(1), 177-186.
Google Scholar
9. Colombo-Dougovito, A. M. (2017). The role of dynamic systems theory in motor development research: how does theory inform practice and what are the potential implications for autism spectrum disorder?. International Journal on Disability and Human Development, 16(2), 141-155.
Google Scholar
10. Fuchs, P. X., Hsiao, H. W., Han, Y. S., Uzomba, C. G. & Nagahara, R. (2024). Kinematics and kinetics of barefoot, shod, and spiked sprinting during acceleration and at maximum speed. ISBS Proceedings Archive, 42(1), 295.
Google Scholar
11. Ericsson, K. A., Krampe, R. T. & Tesch-Römer, C. (1993). The role of deliberate practice in the acquisition of expert performance. Psychological Review, 100(3), 363.
Google Scholar
12. Guevel, A., Hogrel, J. & Marini, J. (2000). Fatigue of elbow flexors during repeated flexion-extension cycles: Effect of move- ment strategy. International Journal of Sports Medicine, 21(07), 492-498.
Google Scholar
13. Hagiwara, M., Ohya, T., Yamanaka, R., Onuma, H. & Suzuki, Y. (2017). The effects of sprint interval training on sail pumping performance in a male windsurfing olympian. Sports Science in Elite Athlete Support, 2, 31-41.
Google Scholar
14. Hamill, J., van Emmerik, R. E., Heiderscheit, B. C. & Li, L. (1999). A dynamical systems approach to lower extremity running injuries. Clinical Biomechanics, 14(5), 297-308.
Google Scholar
15. Heuvelmans, P., Benjaminse, A., Bolt, R., Baumeister, J., Otten, E. & Gokeler, A. (2022). Concurrent validation of the Noraxon MyoMotion wearable inertial sensors in change-of-direction and jump-landing tasks. Sports Biomechanics, 1-16.
16. Ito, J., Moriyama, H., Inokuchi, S. & Goto, N. (2003). Human lower limb muscles: an evaluation of weight and fiber size. Okajimas folia anatomica Japonica, 80(2.3), 47-56.
Google Scholar
17. Kristen, K. (2018). Foot and ankle injuries in surfing, wind- surfing, kitesurfing: A follow up study and review of the literature. Sports Orthopaedics and Traumatology, 34(3), 265-270.
Google Scholar
18. Lukšys, D., Jatužis, D., Jonaitis, G. & Griškevičius, J. (2021). Appli- cation of continuous relative phase analysis for differen- tiation of gait in neurodegenerative disease. Biomedical Signal Processing and Control, 67, 102558.
19. MacKenzie, S. J., Lavers, R. J. & Wallace, B. B. (2014). A biomech- anical comparison of the vertical jump, power clean, and jump squat. Journal of Sports Sciences, 32(16), 1576-1585.
Google Scholar
20. Miller, R. H., Chang, R., Baird, J. L., Van Emmerik, R. E. & Hamill, J. (2010). Variability in kinematic coupling assessed by vector coding and continuous relative phase. Journal of Biomechanics, 43(13), 2554-2560.
Google Scholar
21. Nathanson, A. T. & Reinert, S. E. (1999). Windsurfing injuries: Results of a paper-and internet-based survey. Wilderness & Environmental Medicine, 10(4), 218-225.
Google Scholar
22. Newell, K. M. (1986). Constraints on the development of coordination. Motor development in children: Aspects of coordination and control/Martinus Nijhoff.
23. Rodriguez, J. (2021). Windsurfing analysis breaks down pro- pulsion mechanics of sailboards. Scilight, 2021(41).
Google Scholar
24. Rozhdestvensky, K. (2023). A simplified mathematical model of pumped hydrofoils. Journal of Marine Science and Engineering, 11(5), 913.
Google Scholar
25. Shah, S. K. (2006). From innovation to firm formation: Contri- butions by sports enthusiasts to the windsurfing, snow- boarding & skateboarding industries. The Engineering of Sport 6: Volume 3: Developments for Innovation (pp. 29-34) Springer.
Google Scholar
26. So, R., Chan, K. M., Appel, R. & Yuan, Y. (2004). Changes in the multi-joint kinematics and co-ordination after repetitive windsurfing pumping task. Journal of Sports Medicine and Physical Fitness, 44(3), 249.
Google Scholar
27. Tagliaferri, F. & Viola, I. M. (2017). A real-time strategy-decision program for sailing yacht races. Ocean Engineering, 134, 129-139.
Google Scholar
28. Vaeyens, R., Lenoir, M., Williams, A. M., Mazyn, L. & Philippaerts, R. M. (2007). The effects of task constraints on visual search behavior and decision-making skill in youth soccer players. Journal of Sport and Exercise Psychology, 29(2), 147-169.
Google Scholar
29. Vogiatzis, I., De Vito, G., Rodio, A., Madaffari, A. & Marchetti, M. (2002). The physiological demands of sail pumping in olympic level windsurfers. European Journal of Applied Physiology, 86, 450-454.
Google Scholar
30. Vogiatzis, I. & De Vito, G. (2015). Physiological assessment of olympic windsurfers. European Journal of Sport Science, 15(3), 228-234.
Google Scholar
31. Williams, A. M. & Ford, P. R. (2008). Expertise and expert performance in sport. International Review of Sport and Exercise Psychology, 1(1), 4-18.
Google Scholar
32. Young, J. D., Morris, S. E., Schutt, R. R. & Williamson, C. (2019). Effect of hybrid-heave motions on the propulsive per- formance of an oscillating airfoil. Journal of Fluids and Structures, 89, 203-218.
Google Scholar
33. Zemková, E., Poór, O. & Pecho, J. (2019). Peak rate of force development and isometric maximum strength of back muscles are associated with power performance during load-lifting tasks. American Journal of Men's Health, 13(1), 1557988319828622.
Google Scholar